Home Browse Text SearchFunctional Group SearchStructure SearchPreferences Administration

selected data collection: 1

IRIS SDF: browse content


1
  <<    <    >    >>  

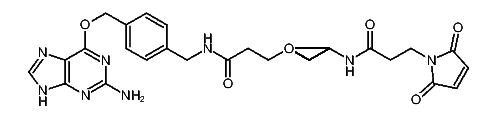
1:115857 C31H40N8O9
hit structure
1:115858 C21H21N7O2S2
hit structure
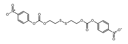
1:115859 C26H30N8O4S2
hit structure
1:115860 C34H31N7O3
hit structure
1:115861 C24H22N2O2
hit structure
1:115862 C23H21F9N4O4S
hit structure
1:115863 C21H16F9NO5S
hit structure
1:115864 C35H41F9N4O6S2
hit structure
1:115865 C16H30N4O4S
hit structure
1:115866 C7H7N3O
hit structure
1:115867 C8H4N2O4S
hit structure
1:115868 C12H16N2O5S2
hit structure
1:115869 C5H9N3O2S2
hit structure
1:115870 C24H24N2O4S2
hit structure
1:115871 C14H24N6O2S3
hit structure
1:115872 C20H22BNO7
hit structure
1:115873 C36H35BN2O13
hit structure
1:115874 C11H12N4O5S2
hit structure
1:115875 C18H16N2O10S2
hit structure
1:115876 C19H14N2O4S3
hit structure
1:115877 C10H17NOS
hit structure
1:115878 C13H22N2O2S
hit structure
1:115879 C14H21NO4S
hit structure
1:115880 C18H34N4O5S
hit structure
1:115881 C10H8N4OS
hit structure

1
  <<    <    >    >>  

entries in data collection: 121538