Home Browse Text SearchFunctional Group SearchStructure SearchPreferences Administration

selected data collection: 1

IRIS SDF: browse content


1
  <<    <    >    >>  

1:112541 C13H18N2O4
hit structure
1:112542 C14H25NO6
hit structure
1:112543 C20H22N2O6
hit structure
1:112544 C18H22N2O6
hit structure
1:112545 C14H20N2O6
hit structure
1:112546 C10H15NO5
hit structure
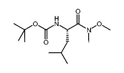
1:112547 C9H18N2O4
hit structure
1:112548 C13H16N2O6
hit structure
1:112549 C16H21N3O7
hit structure
1:112550 C23H26N2O8
hit structure
1:112551 C21H26N2O8
hit structure
1:112552 C17H24N2O6
hit structure
1:112553 C15H24N2O6
hit structure
1:112554 C13H26N2O4
hit structure
1:112555 C17H24N2O6
hit structure
1:112556 C15H24N2O6
hit structure
1:112557 C22H33N3O8
hit structure
1:112558 C13H21F3N2O5
hit structure
1:112559 C18H28N2O6S
hit structure
1:112560 C12H23NO4
hit structure
1:112561 C16H22N2O6S
hit structure
1:112562 C14H22N2O6S
hit structure
1:112563 C18H27NO4S
hit structure
1:112564 C15H21NO4
hit structure
1:112565 C20H22N2O6
hit structure

1
  <<    <    >    >>  

entries in data collection: 131602