Home Browse Text SearchFunctional Group SearchStructure SearchPreferences Administration

selected data collection: 1

IRIS SDF: browse content


1
  <<    <    >    >>  

1:11235 C17H19N5O8
hit structure
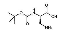
1:11236 C17H24N2O6
hit structure
1:11237 C12H20N2O6
hit structure
1:11238 C12H20N2O6
hit structure
1:11239 C10H17BrN2O5
hit structure
1:11240 C14H18N4O8
hit structure
1:11241 C16H22N2O6
hit structure
1:11242 C8H16N2O4
hit structure
1:11243 C22H24N2O6
hit structure
1:11244 C8H15NO4S
hit structure
1:11245 C19H30N2O6
hit structure
1:11246 C12H20N2O6
hit structure
1:11247 C12H20N2O6
hit structure
1:11248 C18H28N2O6
hit structure
1:11249 C14H18N4O8
hit structure
1:11250 C16H22N2O6
hit structure
1:11251 C8H16N2O4
hit structure
1:11252 C23H26N2O6
hit structure
1:11253 C25H30N2O6
hit structure
1:11254 C9H15NO4S
hit structure
1:11255 C17H20N2O4
hit structure
1:11256 C19H30N2O6
hit structure
1:11257 C15H20N4O8
hit structure
1:11258 C18H28N2O6
hit structure
1:11259 C11H19NO4
hit structure

1
  <<    <    >    >>  

entries in data collection: 41026