Home Browse Text SearchFunctional Group SearchStructure SearchPreferences Administration

selected data collection: 1

IRIS SDF: browse content


1
  <<    <    >    >>  

1:109541 C7H13NO2
hit structure
1:109542 C7H13NO3
hit structure
1:109543 C5H9NO2
hit structure
1:109544 C6H11NO2
hit structure
1:109545 C16H26N2O4
hit structure
1:109546 C16H22N2O4
hit structure
1:109547 C18H34N2O4
hit structure
1:109548 C18H30N2O4
hit structure
1:109549 C8H15NO2
hit structure
1:109550 C7H13NO2
hit structure
1:109551 C12H18N2O4
hit structure
1:109552 C14H26N2O4
hit structure
1:109553 C16H30N2O4
hit structure
1:109554 C7H13NO2
hit structure
1:109555 C16H30N2O4
hit structure
1:109556 C14H22N2O4
hit structure
1:109557 C14H22N2O4
hit structure
1:109558 C18H30N2O4
hit structure
1:109559 C6H13NO2
hit structure
1:109560 C7H15NO2
hit structure
1:109561 C8H17NO2
hit structure
1:109562 C9H19NO2
hit structure
1:109563 C7H15NO2
hit structure
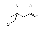
1:109564 C5H10ClNO2
hit structure
1:109565 C6H11NO2
hit structure

1
  <<    <    >    >>  

entries in data collection: 126570