Home Browse Text SearchFunctional Group SearchStructure SearchPreferences Administration

selected data collection: 1

IRIS SDF: browse content


1
  <<    <    >    >>  

1:109240 C24H28FN3O10
hit structure
1:109241 C30H42N2O11
hit structure
1:109242 C30H29F2NO9
hit structure
1:109243 C5H10O5
hit structure
1:109244 C34H44O27R11-
hit structure
1:109245 C5H10O5
hit structure
1:109246 C34H44O27R11-
hit structure
1:109247 C51H63N3O24
hit structure
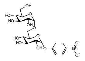
1:109248 C18H25NO13
hit structure
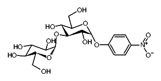
1:109249 C18H25NO13
hit structure
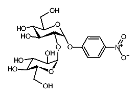
1:109250 C18H25NO13
hit structure
1:109251 C12H24O8S
hit structure
1:109252 C38H39NO14
hit structure
1:109253 C38H39NO14
hit structure
1:109254 C30H33NO12
hit structure
1:109255 C44H51NO22
hit structure
1:109256 C117H166N8O66
hit structure
1:109257 C81H120N6O50
hit structure
1:109258 C69H100N6O40
hit structure
1:109259 C53H74N4O30
hit structure
1:109260 C123H176N8O70
hit structure
1:109261 C87H130N6O54
hit structure
1:109262 C75H110N6O44
hit structure
1:109263 C59H84N4O34
hit structure
1:109264 C99H143N7O58
hit structure

1
  <<    <    >    >>  

entries in data collection: 121538