Home Browse Text SearchFunctional Group SearchStructure SearchPreferences Administration

selected data collection: 1

IRIS SDF: browse content


1
  <<    <    >    >>  

1:107363 C28H44N2O4
hit structure
1:107364 C20H23NO5
hit structure
1:107365 C14H17NO4
hit structure
1:107366 C11H21NO4
hit structure
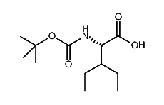
1:107367 C11H21NO4
hit structure
1:107368 C11H21NO4
hit structure
1:107369 C13H23NO4
hit structure
1:107370 C12H21NO5
hit structure
1:107371 C12H21NO4
hit structure
1:107372 C14H25NO4
hit structure
1:107373 C14H19NO4
hit structure
1:107374 C15H21NO4
hit structure
1:107375 C10H17NO5
hit structure
1:107376 C12H16N2O5
hit structure
1:107377 C12H23NO4
hit structure
1:107378 C12H19N3O4
hit structure
1:107379 C12H19N3O4
hit structure
1:107380 C21H29N3O5
hit structure
1:107381 C23H44N2O5
hit structure
1:107382 C10H17NO4
hit structure
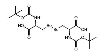
1:107383 C16H28N2O8Se2
hit structure
1:107384 C25H28N2O6
hit structure
1:107385 C13H25NO4
hit structure
1:107386 C11H21NO5
hit structure
1:107387 C12H17NO5
hit structure

1
  <<    <    >    >>  

entries in data collection: 121538