Home Browse Text SearchFunctional Group SearchStructure SearchPreferences Administration

selected data collection: 1

IRIS SDF: browse content


1
  <<    <    >    >>  

1:107062 C13H24N2O5S2
hit structure
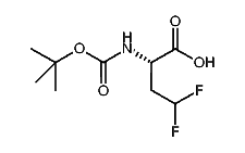
1:107063 C9H15F2NO4
hit structure
1:107064 C14H28N2O4
hit structure
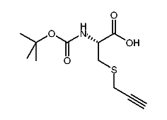
1:107065 C11H17NO4S
hit structure
1:107066 C10H15NO5
hit structure
1:107067 C11H17NO5
hit structure
1:107068 C17H21NO5
hit structure
1:107069 C14H19NO4
hit structure
1:107070 C14H19NO4
hit structure
1:107071 C14H19NO4
hit structure
1:107072 C22H34N2O8
hit structure
1:107073 C12H21NO4
hit structure
1:107074 C13H23NO4
hit structure
1:107075 C14H25NO4
hit structure
1:107076 C15H27NO4
hit structure
1:107077 C12H21NO5
hit structure
1:107078 C10H17NO4
hit structure
1:107079 C11H19NO4
hit structure
1:107080 C12H21NO4
hit structure
1:107081 C22H38N2O8
hit structure
1:107082 C26H42N2O8
hit structure
1:107083 C26H38N2O8
hit structure
1:107084 C28H50N2O8
hit structure
1:107085 C28H46N2O8
hit structure
1:107086 C24H42N2O8
hit structure

1
  <<    <    >    >>  

entries in data collection: 126570