Home Browse Text SearchFunctional Group SearchStructure SearchPreferences Administration

selected data collection: 1

IRIS SDF: browse content


1
  <<    <    >    >>  

1:106816 C25H30N2O6
hit structure
1:106817 C18H26N2O6
hit structure
1:106818 C10H20N2O4
hit structure
1:106819 C14H18FNO4
hit structure
1:106820 C14H18FNO4
hit structure
1:106821 C14H19NO4
hit structure
1:106822 C13H17NO4
hit structure
1:106823 C11H19NO4
hit structure
1:106824 C10H17NO4
hit structure
1:106825 C15H21NO5
hit structure
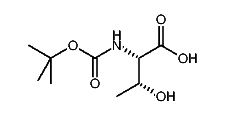
1:106826 C8H15NO5
hit structure
1:106827 C16H23NO5
hit structure
1:106828 C9H17NO5
hit structure
1:106829 C9H15NO4S
hit structure
1:106830 C15H19NO4
hit structure
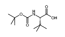
1:106831 C11H21NO4
hit structure
1:106832 C21H28N2O6
hit structure
1:106833 C17H20N2O5
hit structure
1:106834 C16H20N2O4
hit structure
1:106835 C22H24BrNO7
hit structure
1:106836 C17H23NO5
hit structure
1:106837 C21H25NO5
hit structure
1:106838 C14H19NO5
hit structure
1:106839 C10H19NO4
hit structure
1:106840 C9H17NO4
hit structure

1
  <<    <    >    >>  

entries in data collection: 131602