Home Browse Text SearchFunctional Group SearchStructure SearchPreferences Administration

selected data collection: 1

IRIS SDF: browse content


1
  <<    <    >    >>  

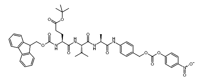
1:106616 C46H51N5O12
hit structure
1:106617 C12H14N2O
hit structure
1:106618 C9H18N2O2
hit structure
1:106619 C15H14N2O2
hit structure
1:106620 C11H26N2O4
hit structure
1:106621 C14H24N2O4
hit structure
1:106622 C11H26N2O4
hit structure
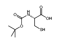
1:106623 C8H15NO4S
hit structure
1:106624 C27H29NO4S
hit structure
1:106625 C13H22N2O6
hit structure
1:106626 C24H28N2O6
hit structure
1:106627 C9H18N2O4
hit structure
1:106628 C23H26N2O6
hit structure
1:106629 C23H26N2O6
hit structure
1:106630 C10H18N2O5
hit structure
1:106631 C13H21NO6
hit structure
1:106632 C17H23NO6
hit structure
1:106633 C15H32N2O5
hit structure
1:106634 C13H26N2O2
hit structure
1:106635 C9H20N2O2
hit structure
1:106636 C10H22N2O2
hit structure
1:106637 C13H26N2O2
hit structure
1:106638 C8H18N2O2
hit structure
1:106639 C9H20N2O2
hit structure
1:106640 C11H22N2O2
hit structure

1
  <<    <    >    >>  

entries in data collection: 131602